جرم اتمی عنصرها
برای اندازهگیری جسم اجسام باید مقدار جرم آنها از دقت ترازو بیشتر باشد؛ مثلاً دقت ترازوی زرگری حدود یک صدم گرم است؛ پس جرمهایی بیشتر از یک صدم را میتواند اندازه بگیرد.
-
- دقت باسکول تنی تا یک صدم تن است.
- به علت ریزبودن اتمها برای اندازهگیری جرم آنها از سنجهای به نام جرم نسبی استفاده میشود.
-
- یکای جرم اتمی یا amu معادل 1/12 جرم کربن است (حواستان باشد نه هر کربنی فقط ایزوتوپ
)
- یکای جرم اتمی یا amu معادل 1/12 جرم کربن است (حواستان باشد نه هر کربنی فقط ایزوتوپ

نکته: حواستان باشد این بار نسبی است نه بار مطلق ذرهها!
- مجموع جرم یک پروتون و یک الکترون باز از یک نوترون کمتر است.
- عدد جرمی هر عنصر تقریباً برابر جرم اتمی آن است.
- حواستان باشد کهamu بر حسب گرم جرمی برابر
گرم دارد.

جرم اتمی میانگین:
بهدلیل چند ایزوتوپی بودن اکثر عنصرها و متفاوت بودن فراوانی ایزوتوپها کمیتی بهنام جرم اتمی میانگین را به وجود آوردند.
حدود کلی جرم اتمی میانگین را برای 35.5cl در نظر بگیرید.

عدد آووگادرو:
بهخاطر ریز بودن اتمها و غیرقابل شمارش بودن آنها کمیتی به دست آمد بهنام ![]()
یا همان عدد آووگادرو به معنایی
ذره از هر چیزی است که به آن یک mol از آن میگوییم.
نکته: گرم رایجترین یکای اندازهگیری در آزمایشگاه است؛ زیرا یکای جرم اتمی amu بسیار کوچک بوده و در عمل کار با آن غیرممکن است.
نکته: حواستان باشد یکای جرم اتمی amu است؛ ولی یکای جرم مولی گرم است.
چند مسأله از جرم اتمی میانگین

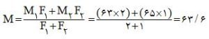
سؤال 1: عنصری در طبیعت دارای دو ایزوتوپ با جرم اتمی 63 و 65 است . اگر یک سوم آن را ایزوتوپ سنگینتر تشکیل داده باشد؛ جرم اتمی میانگین این عنصر چقدر است؟
ابتدا فرمول را برای شما توضیح میدهم:


پاسخ سؤال 1:

فرمول تستی : برای مسایل جرم اتمی چون معمولاً اعداد اعداد رندی نیستند؛ بهتر است که از فرمول تستی استفاده کنیم تا بهتر زمان را ذخیره کنیم.

سؤال 2: اگر عنصری دارای 2 ایزوتوپ به جرم اتمی 20 و 22 باشد و جرم اتمی میانگین این عنصر 18/20 باشد درصد فراوانی ایزوتوپ سبکتر چند است؟
از هر دو روش حل میکنیم تا برتری روش تستی را ببینید:
پاسخ سؤال 2:
ابتدا درصد فراوانی ایزوتوپ کوچکتر را x در نظر میگیریم. پس ایزوتوپ بزرگتر
میشود.
![]()
همانطور که مشاهده میکنید این روش، محاسبات زیادی دارد؛ اما روش تستی در پایین زیر 30 ثانیه میتواند شما را به جواب نهایی برساند.
![]()
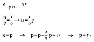
سؤال 3: اگر در اتم فرضی x مجموع ذرات زیر اتمی 96 باشد؛ نسبت شمار ذرات درون هسته 6/5 باشد؛ با توجه عدداتمی و عنصر به دست آمده ویژگی آن در کدام گزینه زیر توضیح داده شده است؟
1) عنصری که در سیمهای برق استفاده میشود.
2) عنصری است که به صورت رگههایی در طبیعت یافت میشود و پسماندی که از تولید آن به دست میآید بسیار زیاد است.
3) عنصری است که در سطح جهان بیشترین مصرف سالانه را دارد.
4) عنصری است که همانند عنصر قبلش در جدول تناوبی زیرلایه با 2 = L پر دارد.
پاسخ سؤال 3: گزینۀ 4
این سؤال، سؤال ترکیبی است. در ابتدا با ذرات زیراتمی سعی میکنیم عدد اتمی عنصر موردنظر را پیدا کنیم.
لیست تعبیرها:
گزینۀ 1: مس
گزینۀ 2: طلا
گزینۀ 3: آهن
گزینۀ 4: روی

حال باید ویژگیهای عنصر zn را پیدا کرد ← در گزینۀ 4 منظور zn و cu است که هر دو زیرلایۀ 3d پر دارند.
سؤال 4:
در یون
تعداد الکترونها دو برابر تعداد مجموع عناصر 3 دورۀ اول است. حال اگر
باشد (منظور از
به ترتیب تعداد نوترون ایزوتوپهای بزرگتر و تعداد نوترونهای ایزوتوپ کوچکتر است.) و اگر
باشد؛ جرم اتمی میانگین این عنصر در صورتی که نسبت فراوانی ایزوتوپ بزرگتر به فراوانی ایزوتوپ کوچکتر 3⁄2 باشد؛ جرم اتمی میانگین را به دست آورید.
پاسخ سؤال 4:
خط فکری: ابتدا با توجه به اطلاعات سؤال سعی میکنیم تعداد نوترونهای هر دو ایزتوپ را به دست بیاوریم.
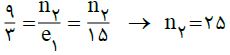
حواستان باشد تعداد عناصر3 دورۀ اول برابر 18 است؛ پس تعداد سؤال
،18 الکترون دارد، پس x دارای 15 پروتون است. حال در
معادله قرار میدهیم.
![]()
پس اختلاف نوترونها 10 است.
حال قسمت دوم سؤال را با توجه به اطلاعات سؤال پیش میبریم:

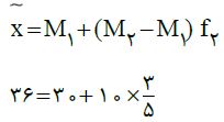
پس تعداد نوترونهای ایزوتوپ دوم 25 است.
پس با توجه به
، پس تعداد
است.
حال با توجه به فرمول تستی جرم اتمی میانگین پیش میرویم:

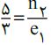
سؤال 5: در یون
تعداد الکترونهای این یون برابر تعداد الکترونهای سومین گاز نجیب جدول تناوبی است. اگر
در ایزوتوپ بزرگتر آن 2/25 باشد و همچنین اگر نسبت
در یون ایزوتوپ کوچکتر آن 10/9 باشد؛ بر این اساس نسبت نوترون ایزوتوپ بزرگتر به پروتونهای یون ایزوتوپ کوچکتر کدام است؟
1) 5/4
2) 9/4
3) 4/5
4) 4/9
پاسخ سؤال 5: گزینۀ 1
خط فکری: در اینگونه سؤالات معمولاً باید دو یا چند معادله و ارتباط بین تعداد نوترونها و پروتونها را پیدا کرد.
ابتدا سعی میکنیم تعداد الکترونهای یون
را پیدا کنیم. تعبیر سؤال برای تعداد الکترونهای یون
برابر آرگون است. یعنی یون
، 18 الکترون دارد پس عنصر x دارای 20 الکترون است. در نتیجه p = e .
در ایزوتوپ بزرگتر گفته شده است که نسبت
است.
پس ![]()
در نتیجه تعداد نوترونها در ایزوتوپ بزرگتر 25 است.
مرحلۀ آخر: در یون ایزوتوپ کوچکتر: ![]()
پس در نتیجه تعداد نوترونهای ایزوتوپ کوچکتر برابر 20 است.
حال نسبت خواسته شده را مییابیم:

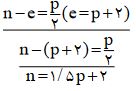
سؤال 6: در یون
اختلاف n و e برابر تعداد نصف پروتونها است. اگر در یون آن تعداد ذرههای موجود در هستۀ اتم 3 برابر عدداتمی اولین فلز با زیرلایۀ 3d پر باشد، در یون این عنصر تعداد
چقدر خواهد بود؟
1) 98
2) 70
3) 87
4) 71
پاسخ سؤال 6: گزینۀ 4
ابتدا سعی میکنیم از روی اطلاعات سؤال روابط بین ذرههای زیراتمی را در این عنصر بیابیم؛ سپس با توجه به این روابط تعداد هر کدام از این ذرهها را به دست میآوریم.
در این مدل سؤالات حواستان به کلمه یون یا خود اتم باشد.

حال گفته شده است تعداد ذرات داخل هسته اتم:

منبع:
کتاب درسی
نویسنده: تیم مشاوره مقدم – محمدمهدی صوفیان